NaCMC: Chemical Formula, Properties & Uses

E.Ittepic 118 views
NaCMC: Chemical Formula, Properties & Uses

NaCMC: Chemical Formula, Properties & Uses

Hey guys! Today, we’re diving deep into the world of Sodium Carboxymethyl Cellulose, often known as NaCMC. If you’ve ever wondered what that mysterious ingredient is on the back of your food packaging or in your cosmetics, you’re in the right place. We’ll break down the chemical formula , explore its unique properties, and uncover its many uses. Let’s get started!

What is NaCMC?

Let’s kick things off with the basics. NaCMC , short for Sodium Carboxymethyl Cellulose, is a cellulose derivative. Now, cellulose itself is the main structural component of plant cell walls – basically, it’s what makes plants so sturdy. NaCMC is created by chemically modifying cellulose, which gives it some pretty awesome properties. Think of it as cellulose’s cooler, more versatile cousin.

But how is it made, you ask? The process involves reacting cellulose with chloroacetic acid in the presence of sodium hydroxide. This reaction introduces carboxymethyl groups (-CH2COOH) onto the cellulose backbone, and the sodium hydroxide neutralizes the acid to form the sodium salt (NaCMC). The degree of substitution, which refers to the average number of carboxymethyl groups attached to each glucose unit in the cellulose chain, can be controlled during the manufacturing process. This control allows manufacturers to tailor the properties of the NaCMC to suit specific applications. For example, a higher degree of substitution typically leads to better water solubility and increased viscosity in solution. This level of customization makes NaCMC a highly versatile ingredient across various industries, from food and pharmaceuticals to cosmetics and construction. Understanding the manufacturing process and the factors influencing its properties is crucial for optimizing its use and exploring new applications.

The Chemical Formula of NaCMC

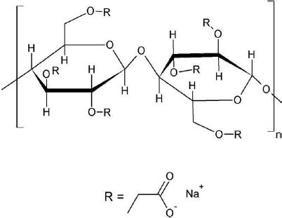
The chemical formula of NaCMC is not a simple one like H2O or NaCl because it’s a polymer – a large molecule made up of repeating subunits. The basic repeating unit is a modified glucose molecule. While a precise formula is complex and depends on the degree of substitution, we can represent it generally as [C6H7O2(OH)3-x(OCH2COONa)x]n, where ‘n’ is the number of repeating units, and ‘x’ represents the average number of carboxymethyl groups per glucose unit. Basically, it’s a cellulose backbone with carboxymethyl groups attached, and those groups are what give NaCMC its unique characteristics.

Key Properties of NaCMC

NaCMC boasts a range of properties that make it incredibly useful in various applications. Let’s break them down:

  • Water Solubility: NaCMC is highly soluble in water, forming clear, viscous solutions. The degree of solubility depends on the degree of substitution and the uniformity of substitution along the cellulose chain. Higher substitution generally leads to better solubility because it increases the number of hydrophilic carboxymethyl groups, which attract water molecules. Moreover, uniform substitution ensures that the polymer chains are evenly modified, preventing aggregation and promoting consistent dissolution. The ability to form clear and stable solutions is crucial in many applications, such as food products, pharmaceuticals, and cosmetics, where visual appeal and product consistency are important. In these applications, NaCMC acts as a thickener, stabilizer, and suspending agent, improving the texture, shelf life, and overall quality of the final product.
  • Viscosity Modifier: Even at low concentrations, NaCMC can significantly increase the viscosity of a solution. This property makes it an excellent thickener and stabilizer. The viscosity of NaCMC solutions is influenced by several factors, including concentration, temperature, pH, and the presence of salts. Higher concentrations of NaCMC naturally lead to higher viscosity, as there are more polymer chains interacting with each other. Temperature affects the viscosity by influencing the mobility of the polymer chains; generally, viscosity decreases with increasing temperature. pH also plays a role, as extreme pH values can cause degradation of the polymer and alter its viscosity. The presence of salts can either increase or decrease viscosity depending on the type and concentration of the salt. Understanding these factors is essential for controlling the viscosity of NaCMC solutions and optimizing their performance in various applications. For example, in food products, controlling viscosity is critical for achieving the desired texture and mouthfeel, while in pharmaceuticals, it is important for ensuring proper drug release and delivery.
  • Film-Forming Ability: NaCMC can form thin, flexible films, making it useful in coatings and edible films. The film-forming ability of NaCMC is attributed to its polymeric structure and the cohesive forces between the polymer chains. When a solution of NaCMC is spread onto a surface and allowed to dry, the water evaporates, leaving behind a thin, continuous film. The properties of the film, such as its strength, flexibility, and permeability, can be controlled by adjusting the concentration of NaCMC, the addition of plasticizers, and the drying conditions. Plasticizers, such as glycerol or sorbitol, are often added to improve the flexibility and reduce the brittleness of the film. The drying conditions, such as temperature and humidity, also affect the film’s properties by influencing the rate of water evaporation and the formation of intermolecular bonds. The film-forming ability of NaCMC is utilized in a wide range of applications, including edible coatings for fruits and vegetables, packaging films, and pharmaceutical coatings for tablets and capsules. These films can provide protection, enhance appearance, and improve the shelf life of the products.
  • Stabilizing Agent: It helps prevent separation and settling in suspensions and emulsions. NaCMC stabilizes suspensions and emulsions by increasing the viscosity of the continuous phase and forming a protective layer around the dispersed particles or droplets. The increased viscosity reduces the rate of sedimentation or creaming, preventing the dispersed phase from settling out or separating. Additionally, NaCMC can adsorb onto the surface of the particles or droplets, forming a steric barrier that prevents them from aggregating or coalescing. This steric stabilization is particularly effective in preventing the destabilization of emulsions and suspensions caused by factors such as temperature changes, pH variations, and the presence of electrolytes. The stabilizing properties of NaCMC are widely used in the food industry to maintain the uniformity and texture of products such as sauces, dressings, and beverages. In the pharmaceutical industry, it is used to stabilize suspensions of drugs and to prevent the separation of active ingredients in topical creams and lotions. In the cosmetics industry, NaCMC helps to stabilize emulsions and suspensions in products such as lotions, creams, and shampoos, ensuring that they remain uniform and aesthetically pleasing over time.
  • Biodegradable: NaCMC is biodegradable, meaning it can be broken down by microorganisms, making it an environmentally friendly option. The biodegradability of NaCMC is a significant advantage, particularly in applications where disposal is a concern. Microorganisms in the environment can break down NaCMC into simpler compounds through enzymatic hydrolysis. The rate of biodegradation depends on factors such as the degree of substitution, the molecular weight of the polymer, and the environmental conditions, including temperature, pH, and the presence of suitable microorganisms. Higher degrees of substitution can sometimes reduce biodegradability, as the carboxymethyl groups can hinder enzymatic attack. However, in general, NaCMC is considered to be readily biodegradable under appropriate conditions. This biodegradability makes it an attractive alternative to synthetic polymers in various applications, such as packaging, agriculture, and wastewater treatment. In packaging, biodegradable NaCMC films can reduce the environmental impact of packaging waste. In agriculture, it can be used as a soil amendment to improve water retention and nutrient availability. In wastewater treatment, it can be used as a flocculant to remove pollutants and suspended solids.

Common Uses of NaCMC

Now for the exciting part! Where do we find NaCMC in our daily lives? Here are some common applications:

Food Industry

In the food industry , NaCMC is a star player. It acts as a thickener in sauces, soups, and gravies, giving them that perfect consistency. It stabilizes ice cream, preventing ice crystal formation and ensuring a smooth, creamy texture. You’ll also find it in baked goods to improve texture and extend shelf life. Moreover, it’s used in low-fat products to mimic the mouthfeel of fat, making healthier options more appealing. NaCMC’s versatility extends to various food applications, where it enhances the quality, stability, and appeal of different products. Its ability to control viscosity, prevent syneresis, and improve texture makes it an indispensable ingredient for food manufacturers. For example, in beverages, it prevents settling of solids and maintains a uniform suspension. In dairy products, it stabilizes emulsions and prevents whey separation. In processed meats, it acts as a binder and improves sliceability. The safety of NaCMC as a food additive has been extensively evaluated by regulatory authorities, such as the U.S. Food and Drug Administration (FDA) and the European Food Safety Authority (EFSA), which have established acceptable daily intake levels to ensure consumer safety. Its widespread use in the food industry underscores its importance and reliability as a functional ingredient.

Pharmaceutical Industry

The pharmaceutical industry relies on NaCMC for several key reasons. It’s used as a binder in tablets, holding the ingredients together. As a suspending agent, it keeps drugs evenly dispersed in liquid medications. It also controls the viscosity of ophthalmic solutions, ensuring comfortable and effective application. Beyond these roles, NaCMC is also utilized in the development of novel drug delivery systems, such as controlled-release matrices and mucoadhesive formulations. Controlled-release matrices allow for the sustained release of drugs over an extended period, reducing the frequency of dosing and improving patient compliance. Mucoadhesive formulations, on the other hand, adhere to the mucous membranes in the body, prolonging the contact time between the drug and the absorption site, thereby enhancing drug bioavailability. NaCMC’s biocompatibility, non-toxicity, and ability to modify drug release profiles make it a valuable excipient in pharmaceutical formulations. Its use in wound healing applications is also gaining attention, as NaCMC can promote tissue regeneration and prevent infection. The pharmaceutical industry continues to explore new and innovative applications of NaCMC to improve drug efficacy, safety, and patient outcomes.

Cosmetics Industry

In the cosmetics industry , NaCMC contributes to the texture and stability of various products. It thickens lotions, creams, and shampoos, giving them a luxurious feel. It also stabilizes emulsions, preventing separation and maintaining the product’s appearance. Additionally, NaCMC acts as a film-forming agent in hairsprays and styling gels, providing hold and shine. Beyond these basic functions, NaCMC is also used in more specialized cosmetic applications, such as facial masks and exfoliating scrubs. In facial masks, it helps to create a smooth, even layer that adheres to the skin, allowing the active ingredients to be delivered effectively. In exfoliating scrubs, it acts as a binder for the abrasive particles, ensuring that they are evenly distributed and do not settle out. NaCMC’s ability to enhance the sensory properties of cosmetic products is highly valued by formulators, as it contributes to the overall user experience. Its compatibility with a wide range of cosmetic ingredients and its non-irritating nature make it a versatile and safe ingredient for personal care products. As consumers increasingly demand natural and sustainable cosmetic ingredients, NaCMC’s biodegradability and plant-based origin further enhance its appeal.

Other Industries

Beyond food, pharmaceuticals, and cosmetics, NaCMC finds uses in various other industries. In the paper industry, it improves paper strength and smoothness. In the textile industry, it acts as a sizing agent, enhancing the yarn’s strength and preventing breakage during weaving. It’s also used in the construction industry as a thickener and water-retention agent in cement and plaster. Moreover, NaCMC plays a crucial role in the oil and gas industry, where it is used as a drilling fluid additive to control viscosity and prevent fluid loss in drilling operations. Its ability to maintain fluid stability under high-temperature and high-pressure conditions makes it an indispensable component of drilling fluids. In the ceramics industry, NaCMC acts as a binder and plasticizer, improving the green strength and workability of ceramic bodies. Its diverse applications across various industries highlight its versatility and effectiveness as a functional material. As industries continue to seek sustainable and environmentally friendly solutions, the demand for NaCMC is expected to grow, driving further innovation and development in its production and applications. The ongoing research and development efforts are focused on optimizing its properties, exploring new applications, and improving its cost-effectiveness.

Safety and Handling

NaCMC is generally considered safe for use in food, pharmaceuticals, and cosmetics when used according to regulations. However, like any substance, it’s essential to handle it properly. Always follow the manufacturer’s instructions and safety guidelines. In industrial settings, wear appropriate personal protective equipment (PPE), such as gloves and safety glasses, to prevent skin and eye irritation. Store NaCMC in a cool, dry place away from moisture to prevent clumping and degradation. Additionally, it’s important to be aware of any potential allergens or sensitivities associated with NaCMC. While rare, some individuals may experience allergic reactions to cellulose derivatives. Therefore, it’s crucial to conduct thorough testing and labeling to ensure consumer safety. Furthermore, proper disposal methods should be followed to minimize environmental impact. Although NaCMC is biodegradable, it’s still important to prevent its release into waterways and ecosystems. By adhering to these safety and handling guidelines, we can ensure the safe and responsible use of NaCMC in various applications. The regulatory oversight of NaCMC by organizations such as the FDA and EFSA provides further assurance of its safety and suitability for use in consumer products.

Conclusion

So, there you have it! NaCMC is a versatile and widely used ingredient with a fascinating chemical formula and a wide array of applications. From thickening your favorite foods to stabilizing your go-to cosmetics, NaCMC plays a vital role in many products we use every day. Understanding its properties and uses can help you appreciate the science behind the things we often take for granted. Keep exploring, keep learning, and stay curious! Until next time!