Koba Weather Forecast

E.Ittepic 60 views
Koba Weather Forecast

Koba Weather Forecast

Hey guys! Ever wondered what the weather’s like in Koba? Well, you’ve come to the right place! We’re diving deep into the meteorological magic (or maybe just the everyday atmospheric conditions) of this unique spot. Understanding the weather in Koba isn’t just about knowing if you need an umbrella; it’s about appreciating the rhythm of nature that shapes life, activities, and even the mood of the people who call Koba home. Whether you’re planning a trip, curious about its climate patterns, or just a weather enthusiast, we’ve got the lowdown.

Koba’s weather patterns are fascinating, guys. They’re influenced by a combination of geographical factors and broader climatic trends. Think about it – where a place is located on the globe plays a massive role in its temperature, precipitation, and wind. Is Koba near a large body of water? Is it surrounded by mountains? These elements can create microclimates, leading to variations in weather even within short distances. We’ll explore these nuances, so you can get a crystal-clear picture of what to expect. We’re talking about the highs and lows, the sunny spells and the cloudy days, the gentle breezes and the occasional blustery conditions. It’s all part of the Koba experience, and understanding it helps us connect more deeply with the place itself. So, buckle up, and let’s get started on unraveling the mysteries of Koba’s weather!

Understanding Koba’s Climate

When we talk about the weather in Koba , it’s impossible to ignore its underlying climate. Climate is essentially the long-term average of weather patterns, and it dictates the general conditions you can expect throughout the year. Is Koba known for its scorching summers? Does it experience harsh, snowy winters? Or perhaps it enjoys a more temperate, mild climate with distinct but not extreme seasons? Understanding Koba’s climate provides the foundational knowledge for interpreting its day-to-day weather. For instance, if Koba has a tropical climate, you’d expect high humidity and consistent warmth, making rainy spells a common occurrence. On the other hand, a polar climate would mean freezing temperatures for most of the year, with significant snowfall. We’ll break down the key characteristics that define Koba’s climate, looking at average temperatures, typical rainfall amounts, and seasonal variations. This will give you a solid grasp of the environmental context for any weather forecast you encounter. It’s like knowing the personality of Koba’s weather before you even look at its mood for the day. This is super important, guys, because it helps set expectations and allows for better planning, whether you’re a local or a visitor. We want to make sure you’re always prepared and can make the most of your time in Koba, no matter what the sky is doing!

Climate Zones and Geographical Influence

The geographical position of Koba is a HUGE factor in shaping its climate. Is it situated in a continental region, far from oceanic influences? This could mean more extreme temperature swings between summer and winter. Or is it coastal? Proximity to the sea often moderates temperatures, leading to milder winters and cooler summers. Mountains can create rain shadows, affecting precipitation levels, and influence wind patterns. We’ll delve into these geographical features and how they interact with atmospheric systems to create Koba’s unique climate profile. Understanding these influences is key to grasping why the weather behaves the way it does. It’s not just random; there are scientific reasons behind it, and knowing them makes the whole picture much clearer and more interesting. We’re talking about the big picture here, the long-term trends that set the stage for everything else. This section is all about building that essential foundation so the more detailed weather information makes perfect sense. It’s the backstory to Koba’s weather narrative, guys, and it’s a pretty compelling one!

Seasonal Patterns

Every place has its own seasonal rhythm, and Koba is no exception. We’ll explore the distinct characteristics of each season in Koba. What can you expect during the spring? Is it a time of renewal with blooming flora and gentle showers, or does it bring unpredictable weather shifts? How about summer? Is it hot and humid, perfect for outdoor adventures, or are there monsoon seasons to consider? Autumn might bring crisp air and changing leaves, or perhaps it’s a period of transition with increasing rainfall. And winter – is it a time of deep snow and freezing temperatures, or just a cooler, drier period? Understanding these seasonal patterns is crucial for anyone living in or visiting Koba. It influences everything from agriculture and local festivals to the types of clothing you’ll need. We’ll look at average temperatures and precipitation for each season, highlighting the typical weather conditions that define Koba’s year. This breakdown will give you a practical understanding of what to prepare for, ensuring you’re never caught off guard. It’s all about making sure you have the best possible experience, guys, no matter when you decide to explore Koba!

Daily Weather in Koba: What to Expect

Now that we’ve got a handle on Koba’s climate, let’s zoom in on the daily weather in Koba . This is where things get really practical, guys. Knowing the daily forecast helps you make immediate decisions, like what to wear, whether to carry an umbrella, or if that outdoor picnic is a go. We’ll be looking at key elements like temperature, humidity, wind speed, and precipitation. These are the building blocks of any weather report, and understanding them for Koba will make you feel like a local meteorologist in no time!

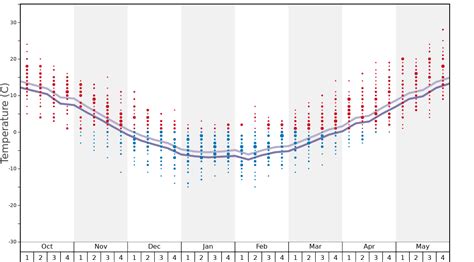
Temperature Fluctuations

Temperature is probably the most talked-about aspect of weather. We’ll be providing insights into the daily temperature ranges in Koba. This includes the expected highs and lows for any given day. Are there significant temperature drops overnight? Does the temperature climb rapidly after sunrise? Understanding these fluctuations is key to dressing appropriately and planning your day. For example, knowing that Koba’s daytime highs are usually in the comfortable mid-70s Fahrenheit but can dip into the 50s after sunset means you’ll want layers. We’ll also touch upon how factors like sunshine, cloud cover, and wind can affect the perceived temperature, often referred to as the ‘feels like’ temperature. This gives you a more accurate picture than just looking at the numbers. So, whether it’s a sweltering afternoon or a crisp morning, you’ll know exactly what to expect temperature-wise in Koba. It’s about being prepared and comfortable, always!

Precipitation and Humidity

Rain, snow, sleet, or maybe just a bit of morning dew – precipitation is a vital part of the weather in Koba . We’ll detail the likelihood of precipitation on any given day, including the expected intensity and duration. Is it forecast to be a light drizzle that might pass quickly, or a steady downpour that could last for hours? Alongside precipitation, humidity plays a significant role in how the weather feels . High humidity can make warm temperatures feel much hotter and sticky, while low humidity can make cool air feel sharper. We’ll discuss typical humidity levels in Koba and how they interact with temperature to influence comfort levels. Knowing whether you’re heading into a humid, muggy day or a dry, crisp one makes a big difference. We’ll also mention any specific types of precipitation Koba is known for, like fog or morning mist, which can add to the unique atmospheric character of the region. This information is super handy for planning outdoor activities and ensuring you have the right gear, guys. Nobody likes being caught unprepared in a sudden shower!

Wind Conditions

Wind might seem minor, but it can significantly impact your experience of the weather in Koba . We’ll cover the expected wind speeds and directions. A gentle breeze can be refreshing on a warm day, while strong winds can make cooler temperatures feel much colder and can affect outdoor activities like boating or hiking. We’ll discuss how windy days are typically characterized in Koba and what types of activities might be affected. Understanding wind patterns also provides clues about weather system movements. For instance, a sudden shift in wind direction can sometimes precede a change in weather. We’ll provide you with the information you need to gauge how windy it’s likely to be, so you can plan accordingly. Whether it’s a gentle zephyr or a gusty gale, knowing about the wind helps you stay informed and comfortable. It’s another piece of the puzzle that makes the Koba weather picture complete, guys. Let’s make sure you’re always ready for whatever the wind brings!

Weather Forecast for Koba

So, you’ve got the background on Koba’s climate and the components of daily weather. Now, let’s talk about looking ahead with the weather forecast for Koba . This is your go-to section for planning not just the next few hours, but the coming days and potentially even the week. Accurate forecasting is essential, whether you’re a resident managing daily life or a traveler coordinating your itinerary. We aim to provide clear, actionable information so you can make informed decisions.

Short-Term Forecast (Next 24-48 Hours)

The short-term forecast is your immediate guide to the weather in Koba . This is where we break down what’s happening right now and what’s expected in the very near future. We’ll cover hourly changes in temperature, the likelihood and timing of any precipitation, and shifts in wind. For instance, a forecast might predict a sunny morning giving way to cloudy skies and a chance of showers by the afternoon. Knowing this allows you to plan your morning errands and decide whether to pack rain gear for later. This level of detail is invaluable for immediate planning. We’ll also highlight any significant weather events like sudden temperature drops, potential storms, or periods of strong winds. This is the most granular forecast we can provide, giving you the best possible insight into the immediate atmospheric conditions. It’s your daily weather companion, guys, ensuring you step out prepared.

Extended Forecast (Next 5-7 Days)

Looking a bit further out, the extended weather forecast for Koba helps with longer-term planning. While less detailed than the short-term forecast, it provides a crucial overview of general trends. You can expect information on average daily temperatures, the probability of rain or snow throughout the week, and general wind conditions. For example, the forecast might indicate a warming trend mid-week with sunny days, followed by a cooler, wetter period towards the weekend. This is perfect for planning weekend trips, scheduling outdoor events, or simply knowing what kind of wardrobe adjustments you might need for the upcoming week. While daily specifics can change, the extended forecast gives you a reliable picture of the overall weather pattern, allowing for more strategic preparation. It’s about seeing the bigger picture for Koba’s weather, guys, giving you that foresight to plan ahead.

Special Weather Advisories and Alerts

Sometimes, the weather in Koba can present challenges, and that’s where special advisories and alerts come in. We’ll keep you informed about any official warnings issued by meteorological agencies. This could include alerts for severe storms, heavy snowfall, heatwaves, floods, or strong winds. These advisories are critical for safety and preparedness. They often come with specific guidance on how to stay safe and what precautions to take. For instance, a severe thunderstorm warning might advise people to stay indoors and secure loose outdoor objects. Understanding and heeding these alerts is paramount. We are committed to bringing you timely information on any such advisories, ensuring you have the necessary knowledge to respond appropriately. Safety first, always, guys! These alerts are designed to protect you, so pay attention when they are issued.

Conclusion: Staying Informed About Koba Weather

Alright guys, we’ve journeyed through the fascinating world of the weather in Koba . From understanding its long-term climate and seasonal patterns to diving into the specifics of daily forecasts and potential alerts, we’ve covered a lot of ground. Remember, the weather is a dynamic force, constantly shaping our environment and influencing our plans. By staying informed about Koba’s weather, you’re better equipped to enjoy everything this place has to offer, whether it’s planning the perfect outdoor adventure, ensuring your comfort, or simply appreciating the natural beauty around you.

We’ve emphasized the importance of checking reliable sources for the most up-to-date information, as forecasts can change. Whether you’re a resident or a visitor, making a habit of consulting the weather in Koba before heading out will undoubtedly enhance your experience. Think of it as your essential guide to navigating the day. Don’t let unexpected weather catch you off guard! Embrace the variability, stay prepared, and enjoy Koba to the fullest. Thanks for tuning in, and happy forecasting!